
متابعات – نبض الوطن – كشفت معلومات صادمة عن عدد الرحلات الخاصة التي سيرتها الإمارات الي مطار نيالا لإمداد مليشيا الدعم السريع بالعتاد العسكري .
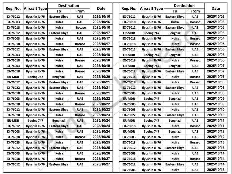
ووفقا للمعلومات التي تحصل عليها “نبض الوطن” إن دولة الإمارات سيرت عدد 57 رحلة إمداد للمليشيا عبر مطار نيالا في الفترة من 2 أكتوبر وحتي 27 أكتوبر 2025.
هذه الرحلات المتكررة في أقل من شهر تفضح الدعم والإمكانيات التي وفرتها حكومة أبوظبي للمليشيا التي ارتكبت أفظع الجرائم في حق البشرية والتي بدات تتكشف للرأي العام العالمي بعد المجازر البشعة التي ارتكبت في حق المدنيين في الفاشر بشمال دارفور .
وحركت هذه الجرائم الضمير الإنساني العالمي وبدأت تحركات إقليمية ودولية لممارسة الضغوط على الإمارات لوقف هذا الدعم .
مليشيا الدعم السريع تورط الإمارات
متابعات – نبض الوطن – في تطور لافت للأحداث ورطت مليشيا الدعم السريع دولة الإمارات بدعمها المباشر في الحرب التي اندلعت في السودان منذ ابريل من العام 2023م.
وتتهم الحكومة السودان حكومة ابوظبي بتوفير الدعم العسكري لقوات الدعم السريع التي تقاتل الجيش، الإ أن الأخير ظلت تنفي ذلك رغم ما قدمته حكومة السودان من وثائق لمجلس الأمن .
وورطت قوات الدعم السريع الإمارات ، بعد أن قاموا برفع علم الإمارات على إحدي المركبات القتالية بعد دخولهم مدينة الفاشر بشمال دارفور .
وأظهر فيديو تم تداوله على نطاق واسع جنود يتبعون لمليشيا الدعم السريع يرفعون عاليا علم الإمارات في سماء الفاشر ، بجانب ظهور مقاتلون يحملون على أكتافهم علم الإمارات .
ضرورة محاسبة الإمارات لتورطها مع مليشيا الدعم السريع
وزير الثقافة والإعلام والسياحة في الحكومة السودانية ، الأستاذ خالد الإعيسر، ضرورة محاسبة الإمارات جراء تورطها في جرائم الإبادة والتطهير العرقي التي حدثت في مدينة الفاشر بولاية شمال دارفور خلال الـ 72 ساعة الماضية، نتيجة الاجتياح الذي تم بالمدينة بواسطة مليشيا الدعم السريع الإرهابية .
وانتقد الإعيسر بقوة صمت المؤسسات الدولية والمجتمع الدولي عن الجرائم والانتهاكات البشعة التي ترتكبها مليشيا الدعم السريع الإرهابية في دارفور والتي تتواصل في مدينة الفاشر حتى الآن، متهمًا المجتمع الدولي باتباع سياسة الكيل بمكيالين في التعامل مع الجرائم والانتهاكات الإنسانية التي ترتكبها المليشيا المتمردة .
وأشار الإعيسر في المنبر التنويري لوزارة الثقافة والإعلام والسياحة الذي نظمته وكالة السودان للأنباء ببورتسودان اليوم، إلى أن ما ارتكبته المليشيا من فظائع خلال الأيام الأخيرة بمدينة الفاشر كفيل بتصنيف المليشيا تنظيما إرهابيا، مبينا أن تصنيف المنظمات الإرهابية لو كان بالأرقام فإن المليشيا تجاوزت كل الأرقام.
وقال الإعيسر إن التنظيمات السياسية المتحالفة مع المليشيا المتمردة ومع الإمارات هي شريك في كل الانتهاكات المرتكبة في دارفور وآخرها في الفاشر ويجب محاسبة هذه القوى .
وناشد الإعيسر الشعوب الحرة بالعالم بالضغط لتصنيف مليشيا الدعم السريع منظمة إرهابية لأنها ارتكبت كل صنوف وأنواع الجرائم والانتهاكات التي تؤهلها لذلك .
وأكد أن موقف الحكومة السودانية ومن خلفها الشعب السوداني ثابت حول الترسيخ لقيام دولة العدالة الخالية من المليشيا الإرهابية، وملتزمة بحماية المدنيين والتنسيق الكامل لتأمين الغذاء لهم.
تورط مسؤول برنامج الغذاء العالمي
كشفت الحكومة السودانية عن ملابسات طرد مسؤول برنامج الغذاء العالمي ومسؤول العمليات بالمكتب من البلاد.
وقال وكيل وزارة الخارحية إن قرار إبعاده تم بعد رصد عدد من التجاوزات التي قام بها مسؤول برنامج الغذاء العالمي ، مؤكدا ان الخارجية استدعت المسؤول الأممي لأكثر من مرة وتنبيهه بتلك التجاوزات .
واكد المسؤول الحكومي أن التجاوزات التي تم رصدها تمس حيادية المنظمة والمهام المؤكلة لها وتمس سيادة البلاد .
واوضح أن الخارجية قامت بمواجهة المسؤول الأممي بهذه التجاوزات وتم إتخاذ قرار إبعاده بتنسيق كامل مع كافة أجهزة الدولة











